Горячее
Лучшее
Свежее
Подписки
Сообщества
Блоги
Эксперты
Войти
Забыли пароль?
или продолжите с
Создать аккаунт
Регистрируясь, я даю согласие на обработку данных и условия почтовых рассылок.
или
Восстановление пароля
Восстановление пароля
Получить код в Telegram
Войти с Яндекс ID Войти через VK ID
ПромокодыРаботаКурсыРекламаИгрыПополнение Steam
Пикабу Игры +1000 бесплатных онлайн игр Прокачивай своего викинга, срази всех врагов и доберись до Одина!

Викинги Вальхалла

Мидкорные, Приключения, Ролевые

Играть

Топ прошлой недели

  • solenakrivetka solenakrivetka 7 постов
  • Animalrescueed Animalrescueed 53 поста
  • ia.panorama ia.panorama 12 постов
Посмотреть весь топ

Лучшие посты недели

Рассылка Пикабу: отправляем самые рейтинговые материалы за 7 дней 🔥

Нажимая «Подписаться», я даю согласие на обработку данных и условия почтовых рассылок.

Спасибо, что подписались!
Пожалуйста, проверьте почту 😊

Помощь Кодекс Пикабу Команда Пикабу Моб. приложение
Правила соцсети О рекомендациях О компании
Промокоды Биг Гик Промокоды Lamoda Промокоды МВидео Промокоды Яндекс Маркет Промокоды Пятерочка Промокоды Aroma Butik Промокоды Яндекс Путешествия Промокоды Яндекс Еда Постила Футбол сегодня
0 просмотренных постов скрыто
RuslanSenatorov
RuslanSenatorov

Функции потерь и алгоритмы оптимизации в линейной регрессии: обзор основных подходов⁠⁠

1 минуту назад

Линейная регрессия — один из самых фундаментальных и широко применяемых методов в машинном обучении. Несмотря на простоту, её эффективность сильно зависит от двух ключевых компонентов:

  1. Функции потерь (loss function) — что именно мы минимизируем?

  2. Метода оптимизации (solver) — как мы ищем решение?

В этой статье мы разберём популярные функции потерь — MSE, MAE, Huber и Log-Cosh — их свойства, плюсы и минусы. А также покажем, как выбор функции потерь определяет выбор алгоритма оптимизации.

Почему функция потерь так важна?

Функция потерь измеряет, насколько предсказания модели отличаются от реальных значений. От её формы зависят:

  • Чувствительность к выбросам

  • Наличие замкнутого решения

  • Выпуклость задачи

  • Скорость и стабильность обучения

Давайте сравним четыре ключевые функции потерь в контексте линейной регрессии.

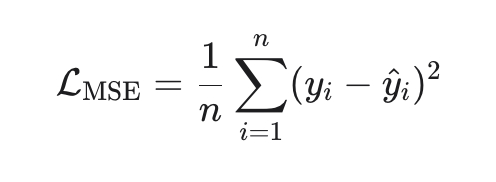
1. MSE (Mean Squared Error) — стандарт по умолчанию

Плюсы: Выпуклая, гладкая, дифференцируемая → легко оптимизировать. Замкнутое решение (метод наименьших квадратов):

  • Эквивалентна максимуму правдоподобия при нормальном шуме.

Минусы:

  • Чувствительна к выбросам (ошибки возводятся в квадрат).

Solver:

  • Normal Equation (аналитическое решение)

  • SGD, SAG, LBFGS (в scikit-learn: solver='auto', 'svd', 'cholesky' и др.)

Когда использовать: когда данные «чистые», ошибки гауссовские, и важна интерпретируемость.

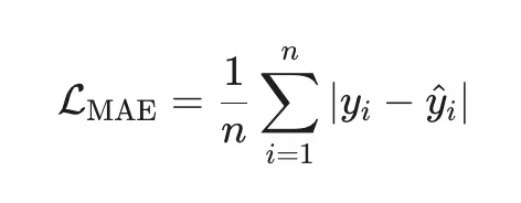
2. MAE (Mean Absolute Error) — робастная альтернатива

Плюсы:

  • Робастна к выбросам (ошибки в первой степени).

  • Минимизирует медиану ошибок (а не среднее).

Минусы:

  • Недифференцируема в нуле → нет аналитического решения.

  • Требует итеративных методов.

Solver:

  • Linear Programming (например, через симплекс-метод)

  • Subgradient Descent (в scikit-learn: QuantileRegressor с quantile=0.5)

Когда использовать: когда в данных есть аномалии или тяжёлые хвосты (например, цены, доходы).

3. Huber Loss — лучшее из двух миров

Плюсы:

  • Гладкая и дифференцируемая.

  • Робастна к выбросам (линейная штраф за большие ошибки).

  • Гибкость через параметр δδ.

Минусы:

  • Нужно настраивать δδ (часто выбирают как процентиль ошибок).

  • Нет замкнутого решения.

Solver:

  • Gradient Descent, LBFGS, Newton-CG(в scikit-learn: HuberRegressor с fit_intercept=True)

Когда использовать: когда вы подозреваете наличие выбросов, но хотите сохранить гладкость оптимизации.

4. Log-Cosh Loss — гладкая робастность

Плюсы:

  • Гладкая везде (бесконечно дифференцируема).

  • Ведёт себя как MSE при малых ошибках и как MAE при больших.

  • Устойчива к выбросам, но без «изломов».

Минусы:

  • Вычислительно дороже (логарифм и гиперболический косинус).

  • Не так распространена в классических библиотеках.

Solver:

  • Gradient-based методы: SGD, Adam, LBFGS(в TensorFlow/PyTorch легко реализуется; в scikit-learn — через кастомный регрессор)

Когда использовать:

  • когда вы ищете баланс между робастностью MSE и гладкостью MAE.

  • Вы хотите избежать чувствительности MSE к выбросам, но сохранить дифференцируемость.

  • Вы строите гибридную модель, где loss должен быть всюду гладким (например, для вторых производных).

Правило:

  • Если loss квадратичен → можно решить напрямую.

  • Если loss неквадратичен → нужен итеративный численный метод.

И помните: нет универсально «лучшей» функции потерь — только та, что лучше всего подходит вашим данным и задаче.

Показать полностью 7
[моё] Научпоп Исследования Ученые Математика Машинное обучение Статистика Искусственный интеллект Roadmap Data Science Наука Длиннопост
0
alfaprojet.ru
alfaprojet.ru
Серия Электроника и гаджеты

В России стартовали продажи смартфона Realme P3 Lite с 120-Гц экраном, 50-Мп камерой и батареей ёмкостью 6300 мАч⁠⁠

1 минуту назад
Источник изображения: Realme

Источник изображения: Realme

Компания Realme объявила о выходе на российский рынок модели P3 Lite, представив её как очередное устройство в бюджетном сегменте.

Смартфон получил аппаратную основу на базе энергоэффективного чипа UNISOC T7250, созданного по 12-нанометровому техпроцессу. Производитель предлагает две конфигурации оперативной памяти — 4 или 8 ГБ. Хранилище также варьируется, доступные варианты включают 128 и 256 ГБ.

Источник изображения: Realme

Источник изображения: Realme

Дополнительно заявлена система динамического расширения, способная увеличивать объём ОЗУ до 24 ГБ, что стало одной из ключевых особенностей модели внутри собственного класса.

Важным элементом устройства стал большой 6,67-дюймовый дисплей, построенный на матрице с разрешением HD+ — 1604 × 720 пикселей. Экран работает с частотой обновления 120 Гц. Пиковая яркость достигает 725 нит.

Источник изображения: Realme

Источник изображения: Realme

Компания указала полезную площадь панели на уровне 92,7%, а также контрастность 1500:1. Экран выводит до 16,7 млн оттенков и покрывает 83% цветового пространства NTSC.

В смартфоне установлен аккумулятор ёмкостью 6300 мА·ч и заявлена поддержка проводной зарядки мощностью 15 Вт, что даёт возможность восполнять заряд без перегрева и излишней нагрузки на батарею.

Источник изображения: Realme

Источник изображения: Realme

Основная камера представлена 50-мегапиксельным модулем, использующим программные алгоритмы ИИ для улучшения детализации и корректировки изображения при различных условиях освещения. Фронтальный модуль получил разрешение 5 Мп и подходит для повседневных видеозвонков и снимков.

Особое внимание производитель уделил надёжности корпуса, поэтому Realme P3 Lite получил защиту от пыли и брызг по стандарту IP64. Также применяется конструкция Armorshell, рассчитанная на амортизацию при падениях с высоты до 1,5 метра.

Источник изображения: Realme

Источник изображения: Realme

Отдельно стоит отметить режим Smart Touch, ориентированный на ситуации, когда необходимо управлять смартфоном мокрыми или загрязнёнными руками. Сенсорный слой распознаёт касания в перчатках и способен реагировать даже при использовании устройства в водонепроницаемом защитном чехле. Такая функция может быть полезна тем, кто часто использует смартфон на улице или в условиях высокой влажности.

При всём наборе характеристик устройство сохраняет компактность. Толщина корпуса составляет 7,79 мм, а вес — 196 граммов. Варианты оформления включают два цвета: «Зелёная сосна» и «Белое облако».

Источник изображения: Realme

Источник изображения: Realme

Набор коммуникационных возможностей соответствует стандартам 4G-класса. Среди модулей беспроводной связи присутствуют Wi-Fi 802.11 a/b/g/n/ac, Bluetooth версии 5.2 и NFC для бесконтактных платежей.

Устройство работает под управлением Android с фирменными улучшениями Realme, которые оптимизируют интерфейс и работу приложений на фоне большой ёмкости аккумулятора.

В России аппарат уже доступен в продаже. Версия с 4 ГБ ОЗУ и 128 ГБ хранилища предлагается по цене 9 999 рублей, а модель с 8 ГБ оперативной памяти и накопителем объёмом 256 ГБ стоит 11 999 рублей.

Читайте нас в Telegram

Показать полностью 5
Гаджеты Электроника Технологии Смартфон Телефон Мобильные телефоны Сотовая связь Realme Telegram (ссылка) Длиннопост
0
MovieGenerator
MovieGenerator
Всё о кино
Серия КиноМем

КиноМем #32⁠⁠

2 минуты назад

Просто десяток забавных мемов с просторов сети, которым удалось меня повеселить. Ничего личного.










Показать полностью 10
Юмор Фильмы Мемы Подборка Картинка с текстом Странный юмор Из сети Длиннопост
0
Stounch
Stounch
Психология | Psychology

От бесконечного квеста по врачам – к целостному здоровью: почему таблетки не работают в одиночку⁠⁠

3 минуты назад

Часть 1: Невидимая эпидемия, которую не выгодно замечать

Если вы прошли трёх неврологов, использовали 3-5 видов различных препаратов, сделали МРТ «на всякий случай», а загадочная головная боль или боль в спине так и осталась с вами – поздравляем, вы не одиноки. Вы в большинстве. Исследования показывают, что до 40% пациентов, обращающихся к врачам с хроническими симптомами, не находят органической причины своих страданий. Врачи разводят руками, анализы в норме, а вы остаётесь наедине со своей болью. Это не значит, что вам это кажется. Это значит, что медицина ищет поломку в отдельной детали, в то время как «сломалась» система коммуникации между вашим мозгом и телом.

Ваше тело – не набор винтиков. Это сложнейшая система, где программа под названием «психика» постоянно общается с «железом» под названием «тело». Когда программа годами работает в режиме хронического стресса, она начинает глючить и отправлять телу ложные сигналы тревоги. Хронический стресс – это не абстракция, а реальный биохимический шторм. Он повышает болевую чувствительность, нарушает сон и запускает воспаление. Проще говоря, ваше тело не врёт. Оно кричит на единственном доступном ему языке – языке симптомов, сообщая о непрожитых эмоциях, выгорании или внутренних конфликтах. Игнорировать этот крик, глуша его обезболивающими, – всё равно что заливать водой дымящуюся проводку, не выключая электричество.

Часть 2: Глубинные корни: когда травма становится болезнью тела

Часто источник того самого «хронического стресса», который перегружает систему, уходит корнями далеко в прошлое. Речь о комплексном посттравматическом стрессовом расстройстве (КПТСР), формирующемся в условиях длительной, неразрешимой стрессовой ситуации, чаще всего – в детстве, в дисфункциональной семье. Для ребёнка, растущего в атмосфере непредсказуемости, критики или эмоциональной депривации (пренебрежения), его дом – это не безопасная гавань, а место постоянной, хоть и не всегда явной, угрозы.

Тело такого ребёнка десятилетиями живёт в режиме выживания: плечи напряжены в ожидании удара, диафрагма зажата, чтобы сдержать рыдания, челюсть стиснута для подавления гнева. Это не просто «дурная привычка» – это базовая неврологическая настройка, формирующая «замороженную» телесную память о небезопасности. Во взрослом возрасте, когда прямая угроза исчезает, тело продолжает жить по старой, устаревшей программе: оно по-прежнему напряжено, сверхбдительно и легко интерпретирует любой, даже нейтральный сигнал (например, учащённое сердцебиение от кофе) как катастрофу. Именно эта изначальная, «зашитая» в ткани тревога и становится плодородной почвой для психосоматических симптомов – от панических атак до фибромиалгии.

Часть 3: Кому выгодна эта игра в одни ворота?

Возникает закономерный вопрос: если проблема так распространена и имеет столь глубокие корни, почему же система здравоохранения продолжает искать несуществущие поломки в «детали»? Ответ лежит в плоскости экономики и устаревшей парадигмы биомедицинской модели. Существует мощное, системное заблуждение – биологический редукционизм. Это удобная для бизнеса сказка, где сложный человек со своей его историей сводится к набору химических реакций, которые можно точечно «подправить» волшебной таблеткой.

Логика здесь проста и беспощадна. Фармацевтический рынок – это триллионы рублей годового оборота. Чем больше изолированных биохимических «мишеней» для лечения отдельных симптомов, тем больше новых препаратов и БАДов можно выпустить на рынок. Вы становитесь участником бесконечного квеста, где за каждым углом вас ждёт новая «уникальная» таблетка от симптома. Но детская травма, застывшая в теле, или хроническое чувство одиночества – это не просто «дефицит серотонина». Их нельзя «подавить» только лишь химически. Пока вы ищете «то самое» лекарство, система заинтересована в том, чтобы предлагать вам всё новый калейдоскоп пилюль, но не в том, чтобы помочь устранить корень проблемы – исцелить биопсихосоциальную рану.

Часть 4: Три ноги одной табуретки: исцеление травмы через БиоПсихоСоциальную модель

Так как же работать с такими глубокими, укоренёнными в истории проблемами? Именно здесь БиоПсихоСоциальная модель (БПСМ) раскрывает свою настоящую целительную силу. Она не отрицает биологию, но и не сводит к ней всё. Она предлагает синхронную работу на всех трёх уровнях, создавая новую, безопасную среду для исцеления.

Пример лечения на базе БПСМ: Женщина, 35 лет, хроническое напряжение в шее и плечах, панические атаки.

  • Биологический уровень (Тело): Работа начинается не с поиска «психологических причин», а с создания безопасности в теле. Через специальные телесные практики (например, осознанное дыхание, мышечная релаксация, сенсорная интеграция) пациентка учится распознавать и безопасно снижать мышечное напряжение. Нормализуется сон и питание, чтобы дать нервной системе ресурс для восстановления. Это первый шаг к «разморозке».

  • Психологический уровень (Разум и эмоции): В безопасном терапевтическом пространстве, когда снижен уровень базовой тревоги, становится возможным исследовать прошлое. Мы не «копаемся» в травме, а аккуратно изучаем, какие убеждения («я должен быть идеальным, чтобы меня любили», «доверять опасно») и эмоциональные реакции сформировались в детстве как защита. Формируется навык осознанного контакта со своими чувствами и их экологичного выражения.

  • Социальный уровень (Связи): Ключевой этап переобучения. Поскольку корень проблемы – в нарушенном опыте отношений, исцеление должно включать выстраивание нового, безопасного опыта взаимодействия. Кроме непосредственно самих психотерапевтических отношений, это может происходить через:

1. Тренинг коммуникативных навыков в терапевтической группе.

2. Постепенное, дозированное обучение безопасному тактильному контакту (например, через массаж у проверенного специалиста, контактную импровизацию в безопасной среде), которое «переписывает» память тела о прикосновениях как об угрозе.

3. Выстраивание личных границ и новых принципов отношений, основанных на взаимном уважении, а не на страхе или обязанности.

Заключение: Время выбирать новый путь исцеления

Работу с психосоматикой на фундаменте БиоПсихоСоциальной модели я называю подходом «NeoSoma» («НеоСома») – новый путь к действительно эффективному исцелению тела. Это целостный, глубинный и доказательный подход, подразумевающий полноценное междисциплинарное взаимодействие врачей профильных специальностей и клинического психолога, а также пошаговую помощь пациенту в создании и сохранении поддерживающей микросоциальной среды. Вместо очередной таблетки, чтобы заглушить эхо детской травмы я предлагаю карту и компас для долгого, но верного путешествия к себе – к телу, которое может расслабиться, к психике, которая может чувствовать безопасно, и к отношениям, которые могут приносить опору, а не боль. Пора перестать быть «сложным пациентом» в системе, которая не хочет видеть вашу сложную, многослойную историю. Пора выбирать путь к здоровью, которое определяется не только отсутствием болезни, но и присутствием подлинной безопасности, витальности и способности к живым, обогащающим связям.

ВАЖНО: Разбираться с психосоматикой следует с разграничения психосоматического расстройства и соматической болезни. Это можно сделать с помощью онлайн теста, который несложно найти в сети.

Показать полностью
[моё] Психотерапия Психолог Психосоматика Психологическая помощь Тревога Панические атаки Депрессия Психологическая травма Стресс ВСД Бессонница Мигрень Когнитивно-поведенческая терапия Невроз Неврология Текст Длиннопост
0
Komandirpetuhov
Komandirpetuhov

Ответ на пост «Тот самый тред, с которого всё началось: Легендарные "Сбои в Матрице" с Reddit»⁠⁠3

4 минуты назад

Есть одна история.

Вечером, летом, возвращаемся с рыбалки: идём вдоль реки, вдоль песчаного пляжа. Друг вдруг спрашивает, сколько времени. Я отвечаю ему сходу: 19:32. Телефон был только у него — чёрно-белая «звонилка» Siemens (но это не важно), и на часах — 19:32. Он не верил мне и говорил, что я подсмотрел, но телефона у меня не было.

С тех пор я изредка могу сходу сказать текущее время, но если захочу сделать это специально — у меня не выйдет.

Но самое забавное, что я специально этого не делаю, и даже интуитивность тяжело в этом обвинить: когда я проверяю время, то практически всегда там 19:32. Это может произойти на работе, на прогулке, во время игры в онлайн-игру. Я могу прийти на кухню и поставить греться чайник — на часах 19:32; закончить разговор с кем-нибудь по телефону — 19:32; произойдёт что-то нестандартное — 19:32.

Бывает не только связанное со временем, а, например, на работе какое-то значение — 1932, урон в игре от персонажа — 1932.

Ладно, я осознаю, что это всё чепуха — просто забавная «закономерность» по жизни или где-то на уровне подсознания заложена извилина, чтобы отмечать это число (хотя специально этого никогда не делал). С этим сразу вспоминается фильм с Джимом Керри — «Роковое число 23».

Показать полностью
Истории из жизни Reddit AskReddit Перевод Длиннопост Жизнь Подборка Сбой матрицы Ответ на пост Текст
1
sadolin
sadolin
Есть на Ali
Серия КИТАЙ ПОКУПАЙ

16 практичных и необычных находок с AliExpress для авто, дома и гаража⁠⁠

5 минут назад

Подборка собрана из необычных и полезных товаров с AliExpress, которые охватывают авто-тематику, бытовые задачи и технические решения.

Здесь есть как практичные инструменты и аксессуары для повседневного использования, так и интересные вещи для хобби, дома и гаража, которые выделяются функциональностью и продуманным исполнением.

✨ Ещё больше интересных гаджетов, инструментов и других товаров вы найдёте у нас в телеграм-канале <<<

1. Мини-двигатель MUSA в красном металлическом корпусе

Мини-двигатель MUSA привлекает внимание уже с первого взгляда благодаря аккуратному металлическому корпусу и насыщенному красному цвету. Конструкция выглядит как уменьшенная копия реального силового агрегата, поэтому устройство часто используют не только в технических экспериментах, но и как эффектный демонстрационный элемент. Все детали подогнаны точно, вращающиеся узлы работают плавно, создавая ощущение настоящего механизма.

Перейти к видео

Работа двигателя сопровождается характерным звуком и движением элементов, что делает его интересным для изучения принципов механики и визуального восприятия работы ДВС. Корпус устойчив к нагреву, а металлические элементы сохраняют форму даже при длительном использовании. Такой мини-двигатель нередко покупают для коллекций, обучения или как необычный подарок для любителей техники.

Цена: 38 090 ₽
✔Купить на AliExpress


2. Набор для замены моторного масла

Набор для замены моторного масла предназначен для аккуратного и удобного обслуживания автомобиля без лишней грязи и проливов. В комплект входит 15 элементов разной формы и диаметра, что позволяет подобрать оптимальное решение под конкретную заливную горловину двигателя. Благодаря такому подходу масло направляется точно по каналу, не попадая на элементы подкапотного пространства и не создавая лишней уборки после работы.

Материал воронок устойчив к воздействию технических жидкостей, не впитывает запахи и легко очищается после использования. Конструкция рассчитана на многократное применение, а сами элементы удобно хранить в гараже или мастерской, не занимая много места. Набор подходит как для плановой замены масла, так и для доливки, когда важна точность и аккуратность.

Цена: 1 769 ₽
✔Купить на AliExpress


3. Складная двухъярусная тележка Carritor

Двухъярусная тележка Carritor рассчитана на перевозку коробок, инструментов и хозяйственных грузов без лишних усилий. Конструкция складывается за считанные секунды, что удобно для хранения в багажнике или кладовой. Металлическая рама выдерживает ощутимую нагрузку и остаётся устойчивой даже при полной загрузке.

Два уровня позволяют рационально распределять вес, снижая нагрузку на руки и спину. Колёса плавно катятся по асфальту и плитке, не застревая на мелких неровностях. Тележку часто используют для покупок, переездов и складских задач, где важны компактность и мобильность.

Цена: 11 299 ₽
✔Купить на AliExpress


4. Регулируемое сцепное устройство для прицепа из марганцевой стали

Сцепное устройство для прицепа изготовлено из марганцевой стали, что обеспечивает высокую прочность и устойчивость к нагрузкам. Регулируемая конструкция позволяет подобрать оптимальную высоту и положение под разные типы прицепов, делая буксировку более стабильной и предсказуемой.

Поверхность устойчива к коррозии и сохраняет внешний вид при эксплуатации в сложных условиях. Надёжная фиксация шара снижает люфт и улучшает контроль при движении. По отзывам владельцев, устройство хорошо подходит для регулярного использования, однако требует точной установки и соблюдения допустимых нагрузок.

Цена: 10 829 ₽
✔Купить на AliExpress


5. Портативный Bluetooth-динамик QIQIZHU S18

Bluetooth-динамик QIQIZHU S18 ориентирован на повседневное использование дома и на улице. Компактный корпус легко помещается в рюкзак, а беспроводное подключение обеспечивает стабильную связь со смартфоном или планшетом. Звук остаётся насыщенным даже на средней громкости, без резких искажений.

Корпус защищён от мелких брызг и пыли, что позволяет использовать колонку на природе или в поездках. Аккумулятора хватает на несколько часов воспроизведения, а управление не вызывает сложностей. Покупатели отмечают удобство формата и достойное звучание для своего размера.

Цена: 16 439 ₽
✔Купить на AliExpress


6. Электронная тонировка Smart Window Film PDLC WXPYU

Электронная плёнка PDLC WXPYU позволяет изменять прозрачность стекла одним нажатием кнопки. В выключенном состоянии поверхность становится матовой, обеспечивая приватность, а при подаче питания — полностью прозрачной. Решение подходит для окон, перегородок и витрин, где важно быстро менять уровень видимости.

Перейти к видео

Плёнка равномерно распределяет свет и не искажает изображение. Монтаж требует аккуратности, но после установки система работает стабильно и без задержек. Владельцы используют такую тонировку в домах, офисах и коммерческих помещениях, отмечая эффектный внешний вид и удобство управления.

Цена: 1 769 ₽
✔Купить на AliExpress

7. Цифровая ЖК-приборная панель для автомобиля

Цифровая приборная панель предназначена для наглядного отображения ключевых параметров движения без перегрузки стандартного щитка приборов. Яркий ЖК-экран хорошо читается днём и ночью, отображая скорость, обороты, напряжение и другие данные в удобном формате. Интерфейс воспринимается интуитивно, поэтому адаптация занимает минимум времени.

Устройство устанавливается в зоне прямой видимости водителя и снижает необходимость отвлекаться от дороги. Корпус аккуратный, не выбивается из интерьера салона, а электроника стабильно работает при перепадах температуры. По отзывам покупателей, панель особенно полезна в автомобилях со скромной штатной индикацией.

Цена: 61 546 ₽
✔Купить на AliExpress


8. Обратный молоток для кузовных работ

Обратный молоток используется для вытягивания вмятин и работы с закисшими элементами без демонтажа крупных узлов. Конструкция создаёт направленное усилие, позволяя аккуратно воздействовать на металл без резких ударов. Масса инструмента сбалансирована, поэтому контроль над движением сохраняется даже при длительной работе.

Перейти к видео

Инструмент часто применяют в гаражных условиях при ремонте кузова и подвески. Покупатели отмечают прочность металла и удобство хвата, хотя рекомендуют заранее подобрать подходящие насадки под конкретные задачи. Хорошее решение для самостоятельного восстановления деталей.

Цена: 2 659 ₽
✔Купить на AliExpress


9. Автомобильная сирена

Автомобильная сирена предназначена для звукового оповещения и повышения заметности автомобиля в экстренных ситуациях. Звук получается резким и хорошо различимым даже в плотном городском шуме. Корпус защищён от влаги и пыли, что важно при установке под капотом или за бампером.

Перейти к видео

Сирена подключается к бортовой сети и стабильно работает при стандартном напряжении. Владельцы используют устройство как дополнительный элемент безопасности или в составе охранных систем. Отмечается высокая громкость, поэтому при монтаже важно правильно выбрать направление излучения.

Цена: 12 459 ₽
✔Купить на AliExpress


10. Герметизирующая шпаклёвка

Герметизирующая шпаклёвка применяется для заделки трещин, швов и небольших повреждений на металлических и пластиковых поверхностях. Состав равномерно распределяется и после высыхания образует плотный слой, устойчивый к влаге и вибрациям. Материал подходит для кузовных элементов, днища и мелкого ремонта.

После полимеризации поверхность можно обрабатывать и окрашивать. Пользователи отмечают хорошую адгезию и удобство нанесения, но советуют тщательно подготавливать основание перед работой. Полезный расходник для гаража и мелкого восстановления.

Цена: 192 ₽
✔Купить на AliExpress


11. Зажимы для удобной переноски грузов

Зажимы предназначены для упрощения переноски коробок, канистр и габаритных предметов без ручек. Конструкция перераспределяет нагрузку, снижая давление на пальцы и запястье. Материал прочный, не скользит в ладони и выдерживает ощутимый вес.

Перейти к видео

Такие зажимы часто используют при перевозке покупок, инструмента и автомобильных аксессуаров. Владельцы отмечают, что переноска становится заметно удобнее, особенно при коротких перемещениях от машины до дома или гаража.

Цена: 999 ₽
✔Купить на AliExpress

12. Пенообразующий очиститель

Пенообразующий очиститель предназначен для глубокой очистки поверхностей без агрессивного механического воздействия. Густая активная пена проникает в поры материала, вытягивая грязь, жир и дорожные отложения, которые сложно удалить обычной тряпкой. После нанесения состав равномерно распределяется и не стекает сразу, что повышает эффективность обработки.

Перейти к видео

Средство применяют для салона, пластиковых элементов, обивки и некоторых внешних деталей автомобиля. Покупатели отмечают заметный результат уже после первого использования, хотя рекомендуют соблюдать инструкцию и тестировать на малозаметном участке. Удобный вариант для регулярного ухода без визита на мойку.

Цена: 539 ₽
✔Купить на AliExpress


13. Очиститель высокого давления

Очиститель высокого давления рассчитан на бытовое использование и подойдёт для мойки автомобиля, садовой техники, фасадов, заборов и дорожек вокруг дома. Компактный насосный блок работает от сети 220 В и не требует сложной подготовки перед запуском. Давление формируется стабильно, что позволяет эффективно сбивать грязь, пыль и налёт без чрезмерного расхода воды.

В комплекте предусмотрены шланги разной длины, включая вариант со стальной оплёткой, что повышает надёжность при работе и снижает риск повреждений при перегибах. Пистолет удобно лежит в руке, курок нажимается мягко, а соединения не люфтят при нормальной затяжке. Дополнительная насадка для пенообразования расширяет сценарии использования и упрощает предварительное нанесение моющего средства на кузов или другие поверхности.

Цена: 24 391 ₽
✔Купить на AliExpress


14. Удобные многоразовые стяжки

Многоразовые стяжки применяются для фиксации кабелей, шлангов и различных элементов в автомобиле, гараже или багажнике. Материал сохраняет гибкость и не ломается при повторном использовании. Фиксация надёжная, без самопроизвольного ослабления со временем.

Перейти к видео

Стяжки часто используют для организации проводки, крепления аксессуаров и временных ремонтов в дороге. Большое количество заказов и высокий рейтинг подтверждают практичность решения. Покупатели ценят долговечность и удобство повторного применения.

Цена: 409 ₽
✔Купить на AliExpress


15. Светодиодные колпачки на ступицу

Светодиодные колпачки устанавливаются на колёса и создают эффектную подсветку при движении автомобиля. Во время вращения формируется яркий визуальный акцент, который повышает заметность машины в тёмное время суток. Корпус защищён от влаги и пыли, что важно при эксплуатации в любую погоду.

Аксессуар носит декоративный характер и чаще используется для визуального тюнинга. Владельцы отмечают простоту установки и стабильную работу, однако рекомендуют учитывать требования ПДД в конкретном регионе. Подходит тем, кто хочет добавить индивидуальности внешнему виду автомобиля.

Цена: 4 099 ₽
✔Купить на AliExpress


16. Сверхпрочные кроссовки

Сверхпрочные кроссовки рассчитаны на активное использование и повышенные нагрузки. Подошва обеспечивает хорошее сцепление с поверхностью, снижая риск скольжения, а верхний материал устойчив к износу и механическим повреждениям. Обувь подходит для повседневной носки, работы и длительных прогулок.

Перейти к видео

Посадка плотная, нога фиксируется уверенно, что снижает усталость при ходьбе. Покупатели отмечают практичность и универсальный внешний вид, однако советуют внимательно выбирать размер. Хороший вариант для тех, кто проводит много времени на ногах.

Цена: 2 279 ₽
✔Купить на AliExpress

Подборка получилась разноплановой, но логичной: в ней собраны вещи, которые либо решают конкретные бытовые и автомобильные задачи, либо дают дополнительный комфорт и визуальный эффект.

Большинство товаров ориентированы на практическое применение и, по отзывам покупателей, оправдывают свою стоимость при правильном выборе и понимании назначения. Такой набор подойдёт тем, кто ищет полезные и нестандартные находки с AliExpress без случайных покупок.

Реклама: ООО "АЛИБАБА.КОМ (РУ)" ИНН/Регистрационный номер: 7703380158

💖Подборка товаров, которые могут вам понравиться: 15 необычных товаров с AliExpress для дома и развлечений

Показать полностью 8 8
AliExpress Товары Китайские товары Гаджеты Электроника Товары для дома Бытовая техника Видео Короткие видео Вертикальное видео Без звука Telegram (ссылка) Длиннопост
0
DurtyBrush
DurtyBrush

Идеальная прическа Леона⁠⁠

6 минут назад

Ну правда - "давт три погоды от Шварпскоп! С этим шампунем вы будете выглядеть идеально всегда- в ветер,солнце,дождь,в навождение орд зомби.." Еще одна моя скромная работа по одной из любимых игр- 4 резик) Трейлер на TGA навел суеты и теперь еще больше жду 9 часть) Что скажете? По первому посту понял, что тут много токсичных подростков сидят больше-но хотелось бы увидеть адекватную критику которая приветствуется и мнение фанов. Каких бы персонажей хотели бы еще увидеть? Эта фигурка давно осела в руках коллекционера. Больше работ в группе Грязная Кисточка

Показать полностью 7
[моё] Ностальгия Фильмы Искусство Resident Evil Playstation Коллекция Олдфаги Олдскул Коллекционирование Зомби Компьютерные игры Коллекционные фигурки Игры Настольные игры Ужасы Триллер Мистика Silent Hill Компьютер Художник Длиннопост
0
Gamecollectors
Gamecollectors
Твоя коллекция - видеоигры +

Коллекция по Castlevania⁠⁠

6 минут назад
Castlevania коллекция видеоигр

Castlevania коллекция видеоигр

Всем привет!
Собрал для себя небольшую серию игр по Castlevania.
Теперь нужно найти время пройти все это)

Пост на ВК Коллекционеры видеоигр

👆 Публикуй свою коллекцию! Подключайся к сообществу и хвастай, чем новым пополнился ;)

Показать полностью 3
Коллекционирование Компьютерные игры Коллекционер Видеоигра Ретро-игры Ностальгия Коллекция 90-е Олдскул Детство 90-х 2000-е Nintendo Sega Dendy Олдфаги 8 бит 16 бит Игры на Денди Castlevania ВКонтакте (ссылка) Длиннопост
2
Посты не найдены
О нас
О Пикабу Контакты Реклама Сообщить об ошибке Сообщить о нарушении законодательства Отзывы и предложения Новости Пикабу Мобильное приложение RSS
Информация
Помощь Кодекс Пикабу Команда Пикабу Конфиденциальность Правила соцсети О рекомендациях О компании
Наши проекты
Блоги Работа Промокоды Игры Курсы
Партнёры
Промокоды Биг Гик Промокоды Lamoda Промокоды Мвидео Промокоды Яндекс Маркет Промокоды Пятерочка Промокоды Aroma Butik Промокоды Яндекс Путешествия Промокоды Яндекс Еда Постила Футбол сегодня
На информационном ресурсе Pikabu.ru применяются рекомендательные технологии