Продолжение поста «Где-то»1
Индекс: ПФ-10/2
Базовый элемент: АГП-10
Назначение: компенсация веса и квазиневесомое удержание грузов до 10 т с возможностью модульного наращивания
1. Общие характеристики платформы
Параметр/Значение/
Тип платформы - Модульная фазовая
Базовая конфигурация2 × АГП-10
Номинальная полезная нагрузка10 т
Полная масса платформы (без груза)~18 т
Полная компенсируемая масса20 т
Эффективная компенсация веса≥ 99 %
Остаточная нагрузка на опору≤ 100 кг
Рабочая высота над поверхностью 0–5 м (регулируемая)
Режим работы - Непрерывный
Среда - Атмосфера / вакуум
Опорная реакция - Отсутствует
2. Состав платформы
2.1 Основные узлы
Антигравитационная подушка АГП-10 — 2 шт
Источник энергии нуль-поля ИЭНП-40 — 1 шт
Фазовая распределительная рама
Система синхронизации фаз (транслятор)
Контур аварийной деградации фазы
Система управления и диагностики
3. Антигравитационная подушка АГП-10 (типовая)
Параметр/Значение
Компенсируемая масса10 т
Геометрия - квадрат 3,2 × 3,2 м
Площадь активной зоны10 м²
Толщина фазового слоя δ - 0,5 м
Объём фазовой зоны - 5 м³
Масса подушки~3,0 т
Тип поля - фазовое скалярное
Режим - поддерживаемая метастабильная фаза
4. Энергетические характеристики
4.1 Источник энергии
Параметр/Значение
Тип - Источник энергии нуль-поля (ИЭНП-40)
Номинальная мощность - 40 МВт
Режим - стационарный
Топливо - отсутствует
Выбросы - отсутствуют
Время выхода на режим: 10–60 с
4.2 Распределение мощности
Потребитель/Мощность
Поддержка фазового поля (2 × АГП-10) 18–22 МВт
Каузальный контур ИЭНП5–7 МВт
Стабилизация резонатора 3–5 МВт
Управление и охлаждение 6–10 МВт
Итого≤ 40 МВт
5. Математическая модель фазовой компенсации
5.1 Введение фазового поля
Вводится скалярное фазовое поле вакуума:
Поле определяет локальное фазовое состояние пространства, влияющее на гравитационный отклик материи.
5.2 Эффективная метрика
Материя взаимодействует не с исходной метрикой
, а с эффективной:
где конформный множитель:
α — коэффициент связи фазы вакуума с геометрией.
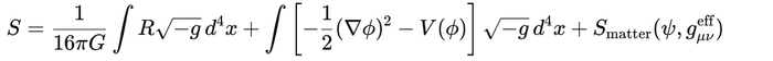
5.3 Действие системы
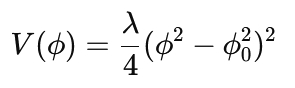
5.4 Потенциал фазового поля
Используется двуфазный потенциал:
Он задаёт:
нормальную фазу вакуума
фазу компенсации
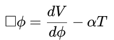
5.5 Уравнение фазового поля
где:
— след тензора энергии-импульса материи
Материя возбуждает фазу, но не создаёт тягу.
5.6 Ньютоновский предел (ключевой результат)
Гравитационный потенциал:
Эффективное ускорение свободного падения:
5.7 Условие компенсации веса
Для компенсации ≥ 99 %:
При этом:
инерционная масса сохраняется
гравитационная связь ослабляется
5.8 Пространственный профиль фазы (подушка)
Вертикальное распределение:
Образуется устойчивый фазовый домен, локализованный под платформой.
6. Энергия фазового домена
Плотность энергии фазового поля:
Полная энергия формирования (на заводе):
инициация двух модулей АГП-10 стоит: E=10⋅0.5⋅4×1025≈2×1026 Дж
Эквивалент: ~55 ТВт·ч годовая генерация небольшой АЭС
В эксплуатации:
ИЭНП компенсирует релаксацию фазы, а не создаёт её.
7. Масштабирование платформ
Платформа/Конфигурация/Принцип
10 т1 × ПФ-10/2 - базовый модуль
100 т10 × ПФ-10/2 - фазовая решётка
1000 т100 × ПФ-10/2 - кристалл псевдовакуума
Физика не меняется — меняется только количество модулей.
8. Ключевой инженерный вывод
Платформа не «держится в воздухе».
Она находится в области пространства, где гравитация ослаблена фазовым переходом вакуума.
АГП — не двигатель.
ИЭНП — не генератор тяги.
Вся система — управляемое состояние пространства-времени.




















![Таинственная Парящая Бласта [Точный принцип, лежащий в основе используемой здесь антигравитационной технологии, остаётся неразгаданным]](https://cs15.pikabu.ru/post_img/2024/12/09/6/1733734980177653374.jpg)




